近日,Beat365中文官方网站研究团队在国际顶级期刊CA: A Cancer Journal for Clinicians(《临床医师癌症杂志》)发表题为Global Cancer Statistics for Children: Two Decades of Change and Projections to 2050的研究成果。研究指出,尽管全球儿童癌症死亡率持续下降,但在不同发展水平的国家和地区之间,儿童癌症负担差距正在扩大。
该研究由Beat365中文官方网站附属第一医院(国家呼吸医学中心)何建行教授团队牵头。Beat365中文官方网站附属第一医院李望忠研究员担任第一作者,广东省人民医院黄陕州、福建医科大学附属协和医院陈起跃等教授为共同第一作者。何建行教授为最后通讯作者,广西医科大学第一附属医院康敏教授为共同通讯作者。钟南山院士、周承志教授及梁文华教授作为资深作者参与指导。

导读
该研究系统整合全球多源数据库,全面评估2000—2022年全球儿童癌症发病、死亡及疾病负担的演变趋势,揭示不同发展水平国家之间显著的健康不平等格局,并分析新冠疫情对儿童癌症诊断与报告的潜在影响,同时预测儿童癌症发展至2050年的全球趋势,为全球儿童癌症防控与资源优化配置提供重要循证依据。
该成果凝聚了全国多家医疗与科研机构的协同力量,体现了我国在全球儿童癌症流行病学研究领域的多中心协作,同期刊发了由美国威斯康星医学院儿童肿瘤学专家Matthew R. Kudek教授与约翰霍普金斯大学肿瘤生物统计学教授Hao Wang教授联合撰写的社论文章。两位学者指出,该研究在全球尺度上揭示了儿童癌症死亡率持续下降背景下,发展差距所致结局不平等仍在扩大的结构性现实,并且揭示了卫生投入水平、社会性别不平等及国家发展结构等宏观因素正深刻塑造全球儿童癌症预后分布,当代儿童癌症防控议题已由单纯的技术进步问题转向健康公平与制度能力建设的系统性挑战。
为缩小不同收入水平国家之间的儿童癌症生存差距,世界卫生组织于2018年启动全球儿童癌症倡议,提出到2030年全球儿童癌症总体生存率达到60%的目标。在此背景下,这项研究整合了全球200多个国家和地区的数据,包括全球癌症数据库、世界卫生组织、世界银行等权威资料,通过统计模型分析过去20年的变化趋势,同时评估疫情是否影响了癌症诊断,并预测未来发展情况,具有重要公共卫生意义。
重磅发现:“发展倒挂”现象——发病高的国家,死亡反而低
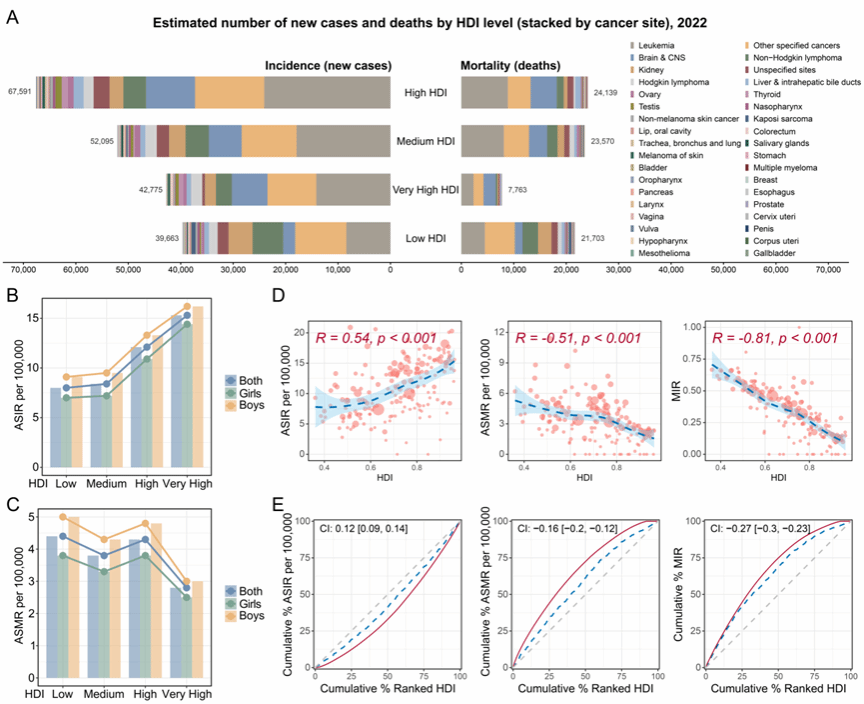
研究发现一个明显现象:高发展水平国家报告的发病率更高,而低发展水平国家死亡率更高。原因并不是高收入国家更容易患癌,而是因为这些国家诊断更充分、病例记录更完整;相反,低收入国家医疗条件有限,很多孩子无法得到及时治疗,死亡风险更高。数据显示,低发展国家的死亡率明显高于极高发展国家。这说明,孩子能否存活,很大程度上取决于出生在哪个国家。正如同期社论所指出,现代儿童癌症格局由“生存改善”与“结局差异扩大”共同定义,全球挑战已从“能否治疗”转向“谁能获得治疗”。

2022年按HDI水平划分的全球儿童癌症负担
未来预测:2050年趋势——差距或将扩大
基于GLOBOCAN2022数据与联合国人口预测模型推算,在当前趋势下,到2050年全球儿童癌症新发病例将达约204,925例,死亡约78,210例。值得关注的是,增长趋势主要集中于低HDI国家,而极高HDI国家负担趋于稳定甚至轻度下降。研究估算,低HDI国家未来新发与死亡人数可能增加约45%,负担结构将进一步向资源有限地区集中。

2022年至2050年全球儿童癌症负担的预计变化
挑战展望:从统计描述走向结构性干预
全球儿童癌症防控的核心已不再局限于治疗技术本身,而在于制度能力与健康公平的系统性建设。过去二十年,儿童癌症生存率持续提升,这是全球医学进步与规范化治疗体系建设的重要成果。然而,正如同期社论所指出,现代儿童癌症格局正由“生存改善”与“差距扩大”共同塑造。未来的挑战,不仅在于研发更精准、更高效的治疗方案,更在于构建一个更加公平、更加有韧性的卫生体系,使每一个患儿——无论出生于何种国家、处于何种社会环境——都能获得及时诊断与规范治疗。真正的全球进步,不仅体现在死亡率的下降,更体现在国家之间生存鸿沟的持续收窄,以及健康机会的公平分配。